| 일 | 월 | 화 | 수 | 목 | 금 | 토 |
|---|---|---|---|---|---|---|
| 1 | 2 | 3 | ||||
| 4 | 5 | 6 | 7 | 8 | 9 | 10 |
| 11 | 12 | 13 | 14 | 15 | 16 | 17 |
| 18 | 19 | 20 | 21 | 22 | 23 | 24 |
| 25 | 26 | 27 | 28 | 29 | 30 | 31 |
Tags
- git
- BOJ
- condition
- VUE
- 보안
- security
- Clone
- loop
- property
- AI
- npm
- nginx
- JavaScript
- 앙상블
- bash
- scss
- webpack
- dotenv
- vue.js
- generic
- docker
- leetcode
- type
- Python
- TypeScript
- C++
- var
- machine learning
- vuetify
- C#
Archives
- Today
- Total
ice rabbit programming
[LeetCode] 112. Path Sum 본문
728x90
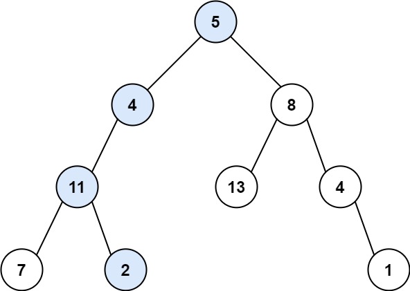
https://leetcode.com/problems/path-sum/

tree에서 root~leaf 까지의 합이 주어진 값과 일치하는 경우가 있는지 확인하는 문제이다.
학부생 시절 코딩테스트를 준비할 때에는 tree 문제를 아주 많이 풀었으나, 요즘에는 잘 풀지 않아 DFS라는 개념만 기억하고 있었다. 따로 예전의 스킬을 찾아 보지는 않고, 논리에 맞게 생각하면서 분기를 태웠다. 아래가 제출한 코드인데, 분기 코드가 좀 지저분하다. 주어진 TreeNode가 부모는 갖고 있지 않아 stack에 push/pop하면서 비교하고, 한 쪽만 비거나 양 쪽 모두 비었을 경우 모두를 분기하느라 분기 조건이 길어졌다.
이 문제 또한 요즘 C++을 사용하고 있어 문제도 C++로 풀어 보았다.
/**
* Definition for a binary tree node.
* struct TreeNode {
* int val;
* TreeNode *left;
* TreeNode *right;
* TreeNode() : val(0), left(nullptr), right(nullptr) {}
* TreeNode(int x) : val(x), left(nullptr), right(nullptr) {}
* TreeNode(int x, TreeNode *left, TreeNode *right) : val(x), left(left), right(right) {}
* };
*/
class Solution {
public:
bool hasPathSum(TreeNode* root, int targetSum) {
bool result = false;
if(root == nullptr) {
return result;
}
std::stack<TreeNode*> st;
st.push(root);
auto iterNode = st.top();
TreeNode* popNode = nullptr;
int sum = tempNode->val;
int count = 0;
while(!st.empty()) {
iterNode = st.top();
if (iterNode == root) {
if ((root->left == nullptr && root->right == nullptr) && ++count == 1) {
result = (root->val == targetSum);
break;
} else if ((root->left == nullptr || root->right == nullptr) && ++count == 2) {
break;
} else if (++count == 3) {
break;
}
}
if(iterNode->left != nullptr && popNode != iterNode->left && (popNode != iterNode->right || popNode == nullptr || iterNode->right == nullptr)) {
sum += iterNode->left->val;
st.push(iterNode->left);
continue;
} else if(iterNode->right != nullptr && popNode != iterNode->right) {
sum += iterNode->right->val;
st.push(iterNode->right);
continue;
} else {
if (sum == targetSum && iterNode->left == nullptr && iterNode->right == nullptr) {
result = true;
break;
}
popNode = st.top();
sum -= popNode->val;
st.pop();
}
}
return result;
}
};
위에서 말했듯이 우선 while문 내에서 stack에 넣고 빼기를 하도록 하고 그 후에 분기들을 붙이느라 여러 케이스들이 많아 조건문이 길고 보기 복잡해졌다.
문제풀이를 가끔씩 하던 터라 감을 잡기 위해 이번에는 따로 공부하지 않고 논리로 풀었으나, 좀 더 간결하게 짤 수 있도록 해야겠다.
728x90
'PS > LeetCode' 카테고리의 다른 글
| [LeetCode] 344. Reverse String (1) | 2024.10.23 |
|---|---|
| [LeetCode] 144. Binary Tree Preorder Traversal (0) | 2024.10.23 |
| [LeetCode] 58. Length of Last Word (0) | 2024.03.07 |
| [LeedCode] 268. Missing Number (0) | 2023.12.27 |
| [LeetCode] 258. Add Digits (0) | 2022.11.10 |